提问者:糖在兜里

江苏,《高中数学小题狂做必修第一册SJ(基础过关)》,P74,第9题,疑惑是计算怎么解?

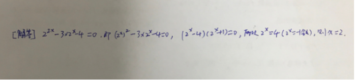
编辑解答:

江苏,《高中数学小题狂做必修第一册SJ(基础过关)》,P74,第13题,疑惑是计算怎么解?

编辑解答: